| Najlepsza taktyka przeciwko Masztom Śmierci: to w gminie | ||
| Dla waszych wpisów i kontaktów księga i notes: "Przeciwko masztom telefonii komórkowej" | ||
| do strony głównej sprawy stacji PTK Centertel Orange (France Telecom) w Kamieńcu Ząbkowickim | ||
| Jeśli masz komórkę to Ty finansujesz nowe stacje bazowe telefonii komórkowej, a z tym choroby i powolną śmierć nie tylko Tobie najbliższych osób. | ||
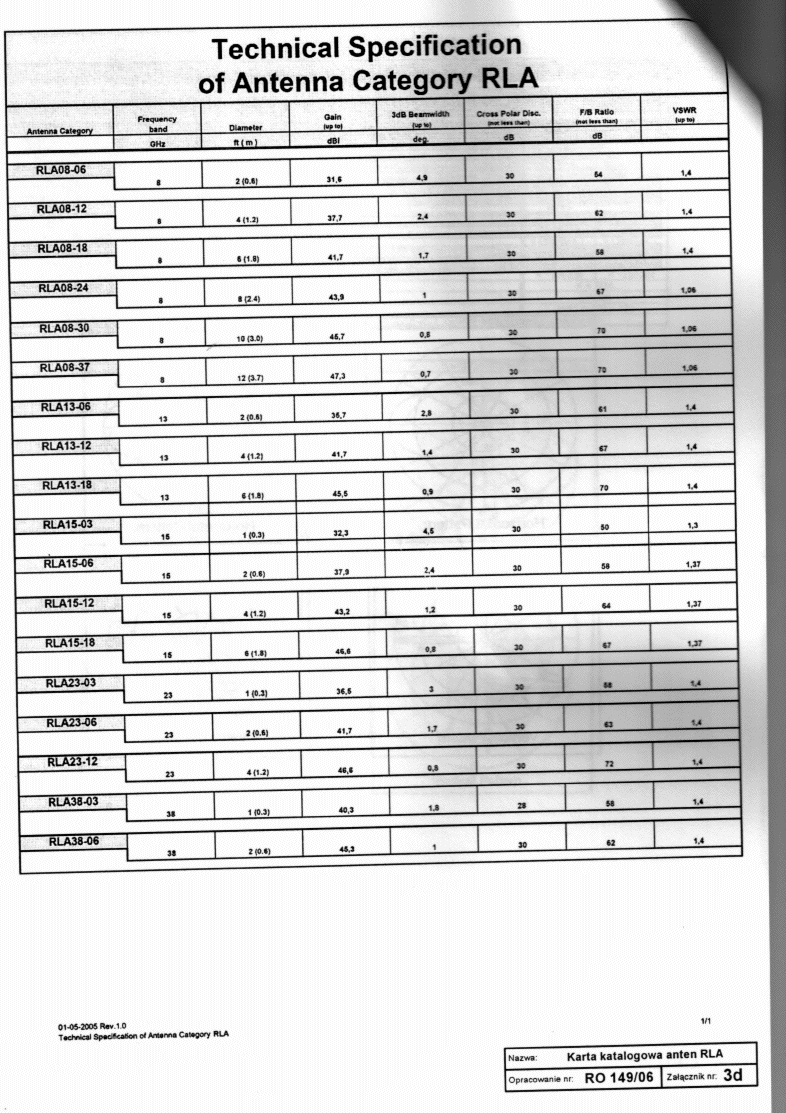
| Technical Specification of Antenna Category RLA. Raport o oddziaływaniu przedsięwzięcia na środowisko nr RO 149/06/RONS rozbudowa stacji bazowej nr 3837/4325 "Kamieniec Ząbkowicki" PTK Centertel Orange (France Telecom) w Kamieńcu Ząbkowickim. EIRP "jest?" 15968 W (>100 W), Nr działki 301/26 AM 11, 57-731 Kamieniec Ząbkowicki, Kolejowa 56, autorem opracowania jest mgr inż. Robert Surma, mai 2006, Grinvest. | ||
![]() | ||
| | ||
![]() | polskie teksty | Inicjatywa Demokracji bezpośredniej | choroba mikrofalowa | ![]() |